Possible master projects
Here is a list of possible projects for master projects in the physics teacher education program. The list is not exhaustive and can be extended. If you are interested in one of the projects, or have an idea for a project, please contact Freek Pols.
The Scientific Graphic Organizer
The Scientific Graphic Organizer (SGO) is a pre-made schematic lab journal which simultaneously functions as a worksheet for practical work. The SGO has many assumed merits above worksheets or lab journals in secondary school science education. Due to the standard format, it is easy for the teacher to see what students are doing and to grade, as it is only a two-pager with a specific format. It also allows the teacher to open up the practical by leaving cells open for students to fill. It is known that students require some training before becoming acquainted with the SGO. Some questions worthy of investigation:
How does the SGO help students in understanding what needs to be done during the practical?
What assignments are effective in getting students acquainted with the SGO?
How does the SGO help the teacher to adjust, or open up, practicals?
How does the student’s understanding of the essence of each cell within the SGO?

The scientific graphic organizer
Collaborative Data Collection
Collaborative Data Collection (CDC) is an approach to practical work which allows reduction of the time needed to collect data. Rather than each individual doing the same practical, students collect only a subset of the data, which is then shared on the Interactive White Board. This ensures that students conduct the experiment and understand the equipment, while more time is available to discuss results and draw conclusions. The teacher leads the discussion, helping students understand the essentials of the practical. Interesting questions to investigate:
What are the merits and trade-offs of the CDC approach?
What are essential features of the CDC approach that contribute to conceptual development?

Collaboratively collect data and share these in a graph
Integration of Argumentation and Scientific Inquiry
Why should students put effort into a practical, especially when the teacher already knows the answers? One way to engage them is to create awareness that only the best available answer to the research question is good enough in science. This requires students to engage in argumentation: defending every decision made during the investigation. It also requires understanding what makes data trustworthy and when data can be regarded as evidence supporting a claim. Pols et al. (2022) developed various “Understandings of Evidence”—insights for constructing scientifically cogent arguments. In science education, we want students to acquire these insights. Interesting questions:
What ways help foster the idea that in science only the best answer to the research question suffices?
What interventions develop specific Understandings of Evidence?
How does peer review enhance the critical approach to practical work?

Understandings of Evidence
Jupyter Notebooks to Support Practical Work
Jupyter Notebooks provide the opportunity to make a lab worksheet using text, embed videos, and simultaneously store and analyze data using Python. These online notebooks can be saved and shared with the teacher. All materials, including data analysis, are found in one document, and students can directly see graphs without struggling with Excel. However, basic programming skills are required, and more advanced data-analysis techniques should be developed. There is currently no literature on the use of Jupyter Notebooks to guide lab work at the secondary school level. Interesting research questions:
What basic knowledge of Jupyter Notebooks and Python is required before students can use these as worksheets in lab activities, and how can students acquire that knowledge effectively?
How do teachers experience working with Notebooks as replacements for worksheets?
How are students supported in doing lab work in physics when working with Jupyter Notebooks?

A Jupyter Notebook as a worksheet for practical work
The Use of Movie Scenes to Learn About Physics
In movies, the laws of physics are often violated, especially in cartoons. Debunking stunts or movie scenes can be highly entertaining, particularly for topics related to kinematics.
What are effective ways to use movie scenes in physics education?
How does the analysis of movie stunts contribute to the development of conceptual knowledge?
Does the analysis of movie stunts contribute to the development of a critical attitude?

A scene from the movie “The Incredibles”
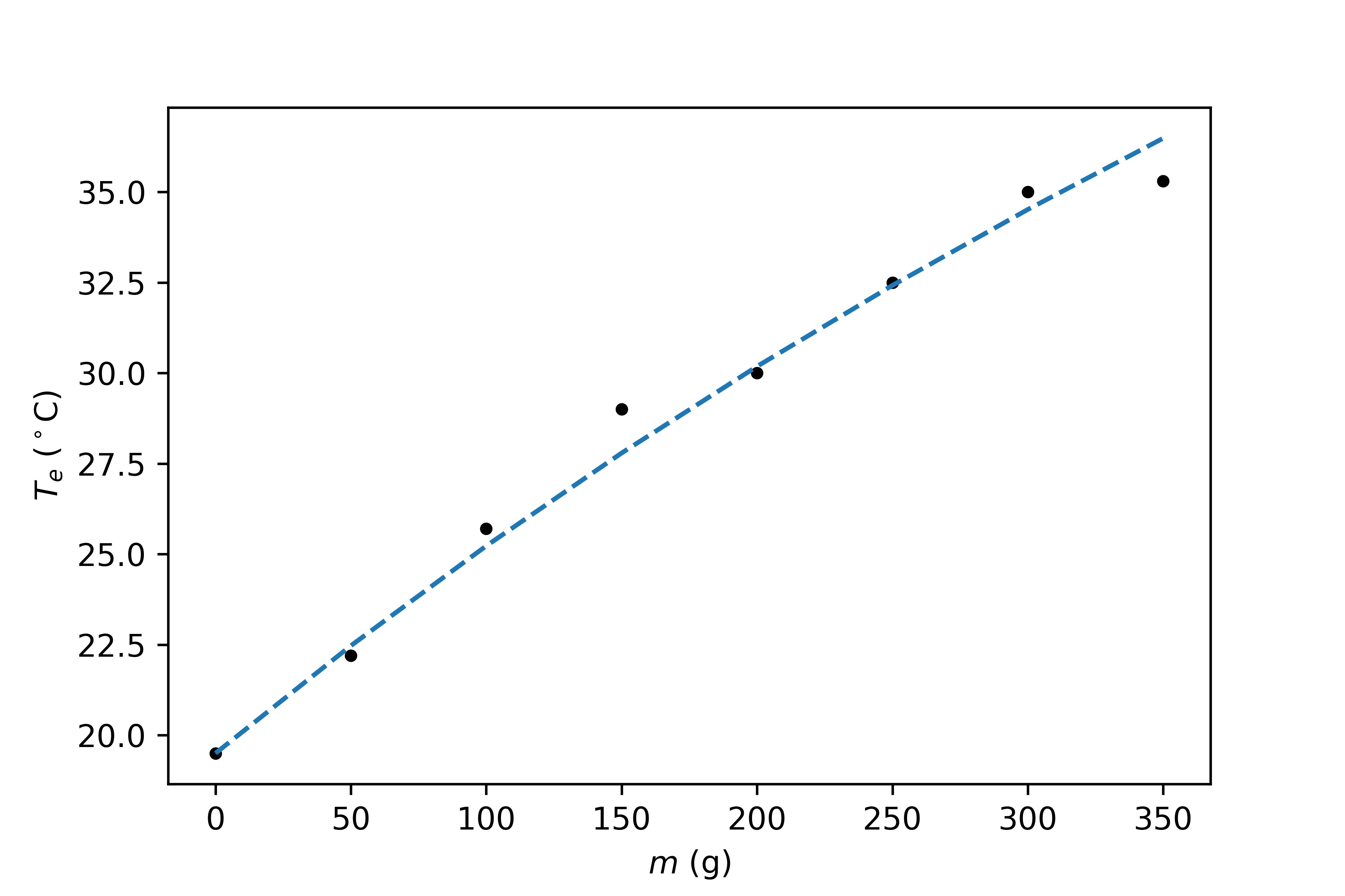
Predicting Graphs to Acquire Content Knowledge in Practicals
Practicals are often used to acquire content knowledge, typically by having students conduct experiments and “discover” concepts. However, literature reports that this approach is hardly effective. An alternative is to have students predict the outcomes of the experiment—make the graph that is supposed to show up. They then conduct the experiment and see whether their results fit the theory. Predicting outcomes helps in understanding what range is useful when measuring. For example, in studying lenses, one could derive the function: b = v·f/(f–v). Using this function with a 10dpt lens in Geogebra or Python results in the following graph:
It is clear that one should use an object distance between ... and ... cm. Anecdotal evidence shows that this increases students’ appreciation of the practical and understanding of the content. Questions:
How effective is this approach compared to traditional approaches?
What aspects of this approach contribute especially to students’ enhanced understanding?
What practicals are suitable for this approach and how can we transform traditional practicals effectively?

Using the theoretical formula to predict next measurements
The Use of Peer Review to Enhance a Critical Attitude
Peer review is a well-known approach in science to ensure research quality and can also enhance students’ critical attitude. In practical work, students can review each other’s work, such as data or conclusions. Reviewing conclusions is especially interesting as it requires understanding the essence of the practical and what makes a conclusion trustworthy. Peer review in secondary school practical work is rarely practiced. Interesting questions:
What are the effects of peer review on students’ understanding of the practical?
How can peer review be implemented in secondary school practical work as a meaningful intervention?

Peer review in practical work
Finished projects¶
- Pols, F. (2024). The Scientific Graphic Organizer for Lab Work. The Physics Teacher, 62(1), 20–21. 10.1119/5.0094657
- Pols, F., & Diepenbroek, P. (2023). Collaborative data collection: shifting focus on meaning making during practical work. Physics Education, 58(2), 023001. 10.1088/1361-6552/acb395